Упражнение 30.8 ГДЗ Мордкович Семенов 9 класс (Алгебра)
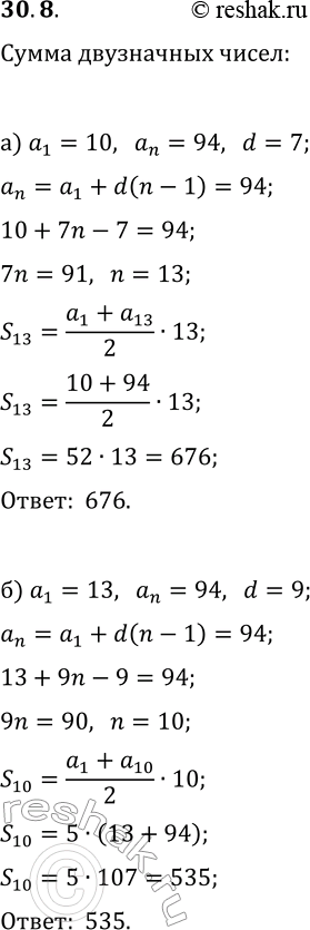
30.8. Найдите сумму всех двузначных чисел, которые: а) при делении на 7 дают в остатке 3; б) при делении на 9 дают в остатке 4.

Ниже вариант решения задания из учебника Мордкович, Семенов, Александрова 9 класс, Бином:
30.8. Найдите сумму всех двузначных чисел, которые:
а) при делении на 7 дают в остатке 3;
б) при делении на 9 дают в остатке 4.
