Упражнение 30.7 ГДЗ Мордкович Семенов 9 класс (Алгебра)
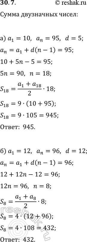
30.7. Найдите сумму всех двузначных чисел: а) кратных 5; б) кратных 12. *Цитирирование задания со ссылкой на учебник производится исключительно в учебных целях для лучшего понимания разбора решения задания.

Ниже вариант решения задания из учебника Мордкович, Семенов, Александрова 9 класс, Бином:
30.7. Найдите сумму всех двузначных чисел:
а) кратных 5; б) кратных 12.
