Упражнение 30.4 ГДЗ Мордкович Семенов 9 класс (Алгебра)
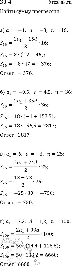
30.4. Найдите сумму S_n членов арифметической прогрессии (a_n), если известны первый член a_1, разность d и число членов n: а) a_1=-1, d=-3, n=16;

Ниже вариант решения задания из учебника Мордкович, Семенов, Александрова 9 класс, Бином:
30.4. Найдите сумму S_n членов арифметической прогрессии (a_n), если известны первый член a_1, разность d и число членов n:
а) a_1=-1, d=-3, n=16; в) a_1=6, d=-3, n=25;
б) a_1=-0,5, d=4,5, n=36; г) a_1=7,2, d=1,2, n=100.
