Упражнение 30.6 ГДЗ Мордкович Семенов 9 класс (Алгебра)
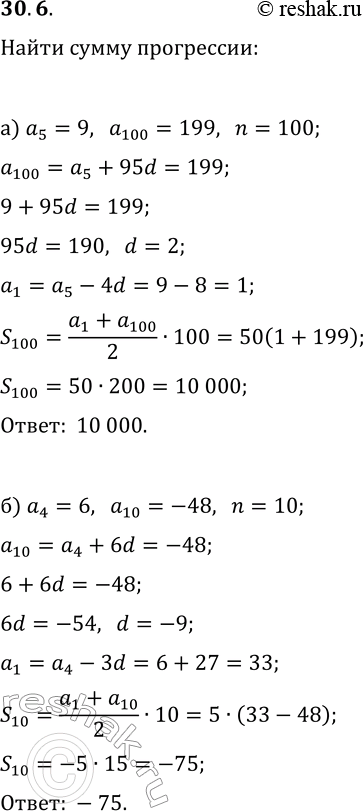
30.6. а) Найдите сумму первых ста членов арифметической прогрессии (a_n), если a_5=9, a_100=199. б) Найдите сумму первых десяти членов арифметической прогрессии (a_n), если a_4=6, a_10=-48.

Ниже вариант решения задания из учебника Мордкович, Семенов, Александрова 9 класс, Бином:
30.6. а) Найдите сумму первых ста членов арифметической прогрессии (a_n), если a_5=9, a_100=199.
б) Найдите сумму первых десяти членов арифметической прогрессии (a_n), если a_4=6, a_10=-48.
