Упражнение 36.16 ГДЗ Мордкович Семенов 9 класс (Алгебра)
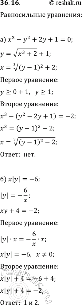
36.16. Есть ли среди представленных уравнений пары равносильных уравнений? Назовите их, объясните свой выбор: а) x^3-y^2+2y+1=0, y=v(x^3+2)+1, x=((y-1)^2+2)^(1/3); б) x|y|=-6, |y|=-6/x, xy+4=-2;


Ниже вариант решения задания из учебника Мордкович, Семенов, Александрова 9 класс, Бином:
36.16. Есть ли среди представленных уравнений пары равносильных уравнений? Назовите их, объясните свой выбор:
а) x^3-y^2+2y+1=0, y=v(x^3+2)+1, x=((y-1)^2+2)^(1/3);
б) x|y|=-6, |y|=-6/x, xy+4=-2;
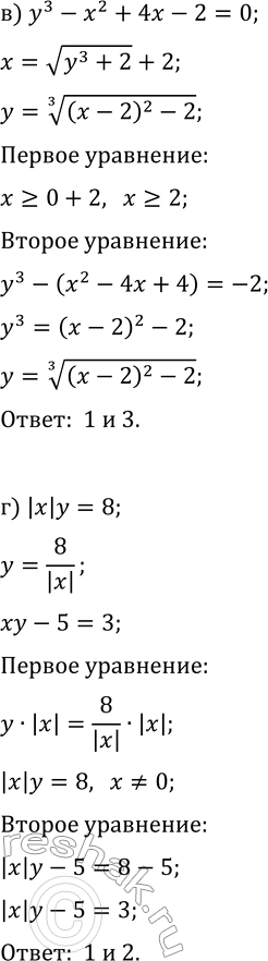
в) y^3-x^2+4x-2=0, x=v(y^3+2)+2, y=((x-2)^2-2)^(1/3);
г) |x|y=8, y=8/|x|, xy-5=3.
