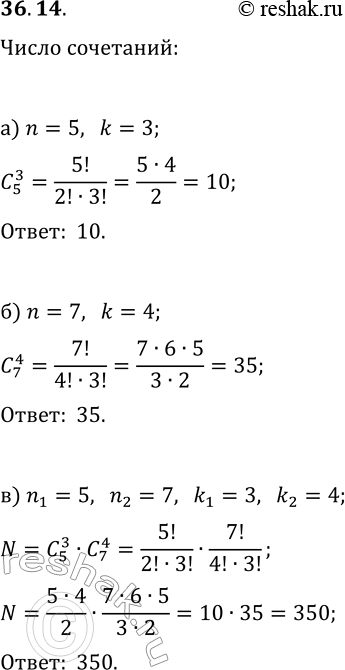
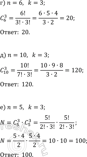
Упражнение 36.14 ГДЗ Мордкович Семенов 9 класс (Алгебра)
36.14. Сколькими способами можно выбрать: а) 3 конфеты из 5 конфет, лежащих на тарелке; б) 4 груши из лежащих на подносе 7 груш;


Ниже вариант решения задания из учебника Мордкович, Семенов, Александрова 9 класс, Бином:
36.14. Сколькими способами можно выбрать:
а) 3 конфеты из 5 конфет, лежащих на тарелке;
б) 4 груши из лежащих на подносе 7 груш;
в) 3 яблока и 4 груши из лежащих на подносе 5 яблок и 7 груш;
г) треугольник с вершинами в вершинах заданного правильного шестиугольника;
д) три цифры из цифр десятичной системы счисления;
е) по 3 участника из двух команд по 5 человек?
