Упражнение 36.13 ГДЗ Мордкович Семенов 9 класс (Алгебра)
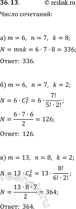
36.13. В кружке по математике занимаются 6 учеников из 9 «А» класса, 7 учеников из 9 «Б» и 8 учеников из 9 «В».


Ниже вариант решения задания из учебника Мордкович, Семенов, Александрова 9 класс, Бином:
36.13. В кружке по математике занимаются 6 учеников из 9 «А» класса, 7 учеников из 9 «Б» и 8 учеников из 9 «В». На олимпиаду выбирают троих. Сколькими способами можно выбрать:
а) троих, по одному из каждого класса;
б) одного из класса «А», двоих из класса «Б > ;
в) одного из класса «А» или «Б», двоих из класса «В»;
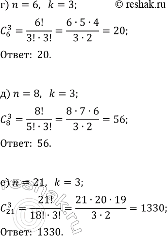
г) всех из 9 «А» класса;
д) всех из 9 «В» класса;
е) всех из всего кружка?
