Упражнение 9.11 ГДЗ Мордкович Семенов 9 класс (Алгебра)
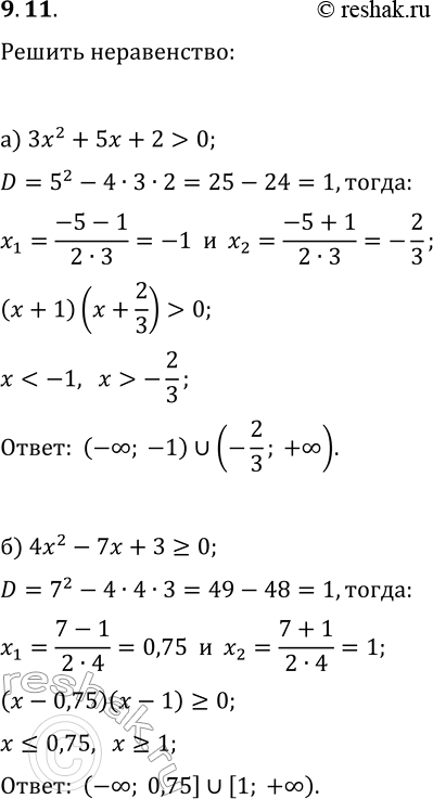
9.11. При каких значениях х: а) трёхчлен 3x^2+5x+2 принимает положительные значения; б) трёхчлен 4x^2-7x+3 принимает неотрицательные значения? *Цитирирование задания со ссылкой на учебник производится исключительно в учебных целях для лучшего понимания разбора решения задания.

Ниже вариант решения задания из учебника Мордкович, Семенов, Александрова 9 класс, Бином:
9.11. При каких значениях х:
а) трёхчлен 3x^2+5x+2 принимает положительные значения;
б) трёхчлен 4x^2-7x+3 принимает неотрицательные значения?
