Упражнение 10.2 ГДЗ Мерзляк 10 класс Углубленный уровень (Алгебра)
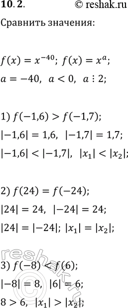
10.2. Функция задана формулой f(x)=x^(-40). Сравните: 1) f(-1,6) и f(-1,7); 2) f(24) и f(-24); 3) f(-8) и f(6). *Цитирирование задания со ссылкой на учебник производится исключительно в учебных целях для лучшего понимания разбора решения задания.

Ниже вариант решения задания из учебника Мерзляк, Номировский, Поляков 10 класс, Просвещение:
10.2. Функция задана формулой f(x)=x^(-40). Сравните:
1) f(-1,6) и f(-1,7); 2) f(24) и f(-24); 3) f(-8) и f(6).
