Упражнение 10.7 ГДЗ Мерзляк 10 класс Углубленный уровень (Алгебра)
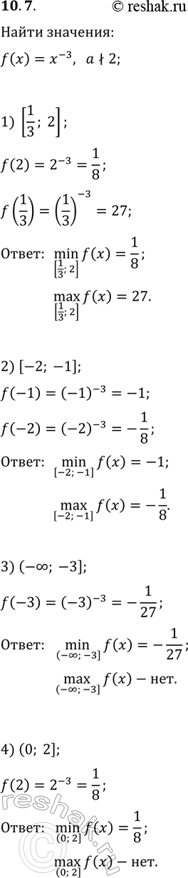
10.7. Найдите наибольшее и наименьшее значения функции f(x)=x^(-3) на промежутке: 1) [1/3; 2]; 2) [-2; -1]; 3) (-?; -3]; 4) (0;
![Решение задачи: 10.7. Найдите наибольшее и наименьшее значения функции f(x)=x^(-3) на промежутке: 1) [1/3; 2]; 2) [-2; -1]; 3) (-?; -3]; 4) (0;](solutions/algebra/10/635/1-10-7.png)
Ниже вариант решения задания из учебника Мерзляк, Номировский, Поляков 10 класс, Просвещение:
10.7. Найдите наибольшее и наименьшее значения функции f(x)=x^(-3) на промежутке:
1) [1/3; 2]; 2) [-2; -1]; 3) (-?; -3]; 4) (0; 2].
