Упражнение 10.6 ГДЗ Мерзляк 10 класс Углубленный уровень (Алгебра)
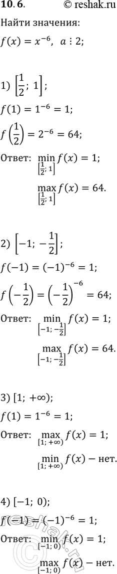
10.6. Найдите наибольшее и наименьшее значения функции f(x)=x^(-6) на промежутке: 1) [1/2; 1]; 2) [-1; -1/2]; 3) [1; +?); 4) [-1;
![Решение задачи: 10.6. Найдите наибольшее и наименьшее значения функции f(x)=x^(-6) на промежутке: 1) [1/2; 1]; 2) [-1; -1/2]; 3) [1; +?); 4) [-1;](solutions/algebra/10/635/1-10-6.png)
Ниже вариант решения задания из учебника Мерзляк, Номировский, Поляков 10 класс, Просвещение:
10.6. Найдите наибольшее и наименьшее значения функции f(x)=x^(-6) на промежутке:
1) [1/2; 1]; 2) [-1; -1/2]; 3) [1; +?); 4) [-1; 0).
