Упражнение 10.3 ГДЗ Мерзляк 10 класс Углубленный уровень (Алгебра)
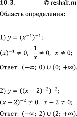
10.3. Найдите область определения функции: 1) y=(x^-1)^(-1); 2) y=((x-2)^(-2))^(-2). *Цитирирование задания со ссылкой на учебник производится исключительно в учебных целях для лучшего понимания разбора решения задания.

Ниже вариант решения задания из учебника Мерзляк, Номировский, Поляков 10 класс, Просвещение:
10.3. Найдите область определения функции:
1) y=(x^-1)^(-1); 2) y=((x-2)^(-2))^(-2).
