Упражнение 12.11 ГДЗ Мерзляк 10 класс Углубленный уровень (Алгебра)
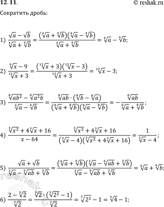
12.11. Сократите дробь: 1) (va-vb)/(a^(1/4)+b^(1/4)); 2) (x^(1/6)-9)/(x^(1/12)+3); 3) ((ab^2)^(1/8)-(a^2 b)^(1/8))/(a^(1/4)-b^(1/4)); 4) ((x^2)^(1/3)+4(x^(1/3))+16)/(x-64); 5) (va+vb)/(a^(1/3)-(ab)^(1/6)+b^(1/3); 6) (2-2^(1/3))/2^(1/3). *Цитирирование задания со ссылкой на учебник производится исключительно в учебных целях для лучшего понимания разбора решения задания.

Ниже вариант решения задания из учебника Мерзляк, Номировский, Поляков 10 класс, Просвещение:
12.11. Сократите дробь:
1) (va-vb)/(a^(1/4)+b^(1/4));
2) (x^(1/6)-9)/(x^(1/12)+3);
3) ((ab^2)^(1/8)-(a^2 b)^(1/8))/(a^(1/4)-b^(1/4));
4) ((x^2)^(1/3)+4(x^(1/3))+16)/(x-64);
5) (va+vb)/(a^(1/3)-(ab)^(1/6)+b^(1/3);
6) (2-2^(1/3))/2^(1/3).
