Упражнение 12.12 ГДЗ Мерзляк 10 класс Углубленный уровень (Алгебра)
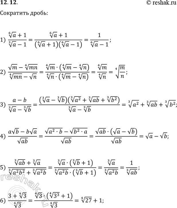
12.12. Сократите дробь: 1) (a^(1/6)+1)/(a^(1/3)-1); 2) (vm-(mn)^(1/4))/((mn)^(1/4)-vn); 3) (a-b)/(a^(1/3)-b^(1/3)); 4) (avb-bva)/v(ab); 5) ((ab)^(1/3)+a^(1/3))/((a^2 b^2)^(1/3)+(a^2 b)^(1/3)); 6) (3+3^(1/4))/3^(1/4). *Цитирирование задания со ссылкой на учебник производится исключительно в учебных целях для лучшего понимания разбора решения задания.

Ниже вариант решения задания из учебника Мерзляк, Номировский, Поляков 10 класс, Просвещение:
12.12. Сократите дробь:
1) (a^(1/6)+1)/(a^(1/3)-1);
2) (vm-(mn)^(1/4))/((mn)^(1/4)-vn);
3) (a-b)/(a^(1/3)-b^(1/3));
4) (avb-bva)/v(ab);
5) ((ab)^(1/3)+a^(1/3))/((a^2 b^2)^(1/3)+(a^2 b)^(1/3));
6) (3+3^(1/4))/3^(1/4).
