Упражнение 12.15 ГДЗ Мерзляк 10 класс Углубленный уровень (Алгебра)
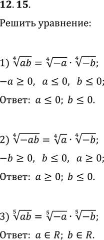
12.15 При каких значениях а и b выполняется равенство: 1) (ab)^(1/4)=(-a)^(1/4)·(-b)^(1/4); 2) (-ab)^(1/4)=a^(1/4)·(-b)^(1/4); 3) (ab)^(1/5)=(-a)^(1/5)·(-b)^(1/5)? *Цитирирование задания со ссылкой на учебник производится исключительно в учебных целях для лучшего понимания разбора решения задания.

Ниже вариант решения задания из учебника Мерзляк, Номировский, Поляков 10 класс, Просвещение:
12.15 При каких значениях а и b выполняется равенство:
1) (ab)^(1/4)=(-a)^(1/4)·(-b)^(1/4);
2) (-ab)^(1/4)=a^(1/4)·(-b)^(1/4);
3) (ab)^(1/5)=(-a)^(1/5)·(-b)^(1/5)?
