Упражнение 12.14 ГДЗ Мерзляк 10 класс Углубленный уровень (Алгебра)
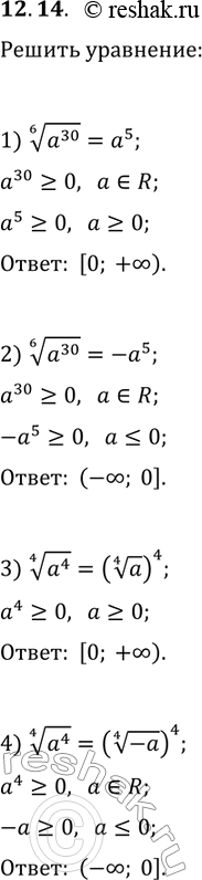
12.14. При каких значениях а выполняется равенство: 1) (a^30)^(1/6)=a^5; 3) (a^4)^(1/4)=(a^(1/4))^4; 2) (a^30)^(1/6)=-a^5; 4) (a^4)^(1/4)=(-a^(1/4))^4? *Цитирирование задания со ссылкой на учебник производится исключительно в учебных целях для лучшего понимания разбора решения задания.

Ниже вариант решения задания из учебника Мерзляк, Номировский, Поляков 10 класс, Просвещение:
12.14. При каких значениях а выполняется равенство:
1) (a^30)^(1/6)=a^5; 3) (a^4)^(1/4)=(a^(1/4))^4;
2) (a^30)^(1/6)=-a^5; 4) (a^4)^(1/4)=(-a^(1/4))^4?
