Упражнение 15.7 ГДЗ Мерзляк 10 класс Углубленный уровень (Алгебра)
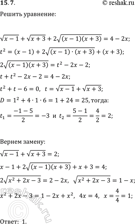
15.7. Решите уравнение v(x-1)+v(x+3)+2v((x-1)(x+3))=4-2x. *Цитирирование задания со ссылкой на учебник производится исключительно в учебных целях для лучшего понимания разбора решения задания.

Ниже вариант решения задания из учебника Мерзляк, Номировский, Поляков 10 класс, Просвещение:
15.7. Решите уравнение v(x-1)+v(x+3)+2v((x-1)(x+3))=4-2x.
