Упражнение 15.5 ГДЗ Мерзляк 10 класс Углубленный уровень (Алгебра)
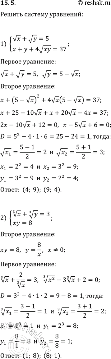
15.5. Решите систему уравнений: 1) {vx+vy=5, x+y+4v(xy)=37}; 2) {x^(1/3)+y^(1/3)=3, xy=8}; 3) {(x+y)^(1/4)+(x-y)^(1/4)=4, v(x+y)-v(x-y)=8}; 4) {v(4-x+y)+v(9-2x+y)=7, 2y-3x=12}. *Цитирирование задания со ссылкой на учебник производится исключительно в учебных целях для лучшего понимания разбора решения задания.


Ниже вариант решения задания из учебника Мерзляк, Номировский, Поляков 10 класс, Просвещение:
15.5. Решите систему уравнений:
1) {vx+vy=5, x+y+4v(xy)=37};
2) {x^(1/3)+y^(1/3)=3, xy=8};
3) {(x+y)^(1/4)+(x-y)^(1/4)=4, v(x+y)-v(x-y)=8};
4) {v(4-x+y)+v(9-2x+y)=7, 2y-3x=12}.
