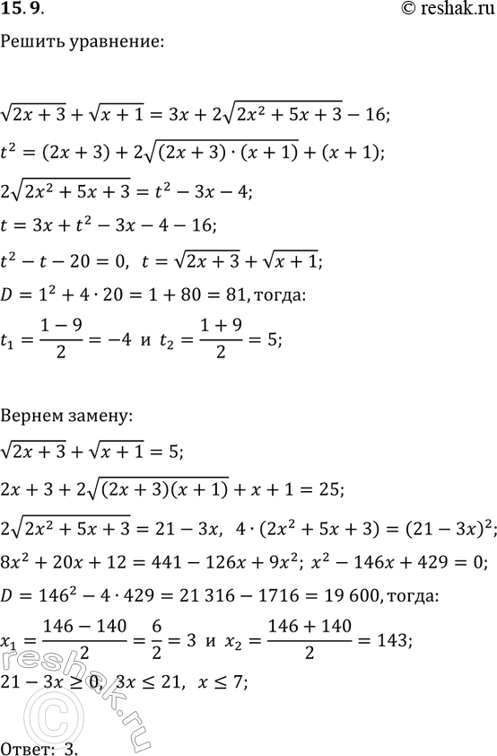
Упражнение 15.9 ГДЗ Мерзляк 10 класс Углубленный уровень (Алгебра)
15.9. Решите уравнение v(2x+3)+v(x+1)=3x+2v(2x^2+5x+3)-16. *Цитирирование задания со ссылкой на учебник производится исключительно в учебных целях для лучшего понимания разбора решения задания.

Ниже вариант решения задания из учебника Мерзляк, Номировский, Поляков 10 класс, Просвещение:
15.9. Решите уравнение v(2x+3)+v(x+1)=3x+2v(2x^2+5x+3)-16.
