Упражнение 16.12 ГДЗ Мерзляк 10 класс Углубленный уровень (Алгебра)
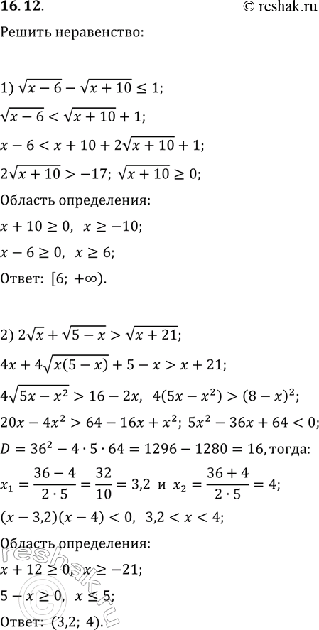
16.12. Решите неравенство: 1) v(x-6)-v(x+10)?1; 2) 2vx+v(5-x) > v(x+21). *Цитирирование задания со ссылкой на учебник производится исключительно в учебных целях для лучшего понимания разбора решения задания.

Ниже вариант решения задания из учебника Мерзляк, Номировский, Поляков 10 класс, Просвещение:
16.12. Решите неравенство:
1) v(x-6)-v(x+10)?1;
2) 2vx+v(5-x) > v(x+21).
