Упражнение 20.12 ГДЗ Мерзляк 10 класс Углубленный уровень (Алгебра)
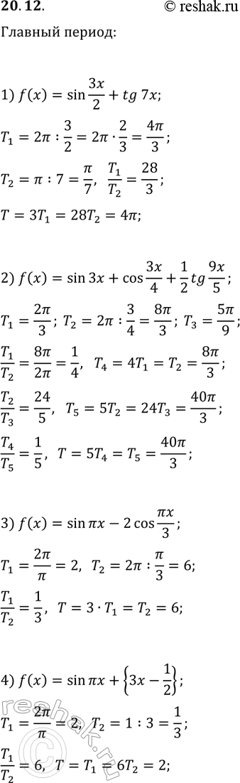
20.12. Найдите период функции: 1) f(x)=sin(3x/2)+tg(7x); 3) f(x)=sin(?x)-2cos(?x/3); 2) f(x)=sin(3x)+cos(3x/4)+(1/2)tg(9x/5); 4) f(x)=sin(?x)+{3x-1/2}. *Цитирирование задания со ссылкой на учебник производится исключительно в учебных целях для лучшего понимания разбора решения задания.

Ниже вариант решения задания из учебника Мерзляк, Номировский, Поляков 10 класс, Просвещение:
20.12. Найдите период функции:
1) f(x)=sin(3x/2)+tg(7x); 3) f(x)=sin(?x)-2cos(?x/3);
2) f(x)=sin(3x)+cos(3x/4)+(1/2)tg(9x/5); 4) f(x)=sin(?x)+{3x-1/2}.
