Упражнение 20.13 ГДЗ Мерзляк 10 класс Углубленный уровень (Алгебра)
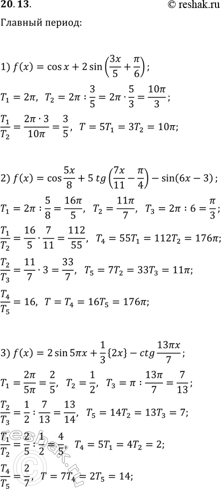
20.13. Найдите период функции: 1) f(x)=cos(x)+2sin(3x/5+?/6); 2) f(x)=cos(5x/8)+5tg(7x/11-?/4)-sin(6x-3); 3) f(x)=2sin(5?x)+(1/3){2x}-ctg(13?x/7). *Цитирирование задания со ссылкой на учебник производится исключительно в учебных целях для лучшего понимания разбора решения задания.

Ниже вариант решения задания из учебника Мерзляк, Номировский, Поляков 10 класс, Просвещение:
20.13. Найдите период функции:
1) f(x)=cos(x)+2sin(3x/5+?/6);
2) f(x)=cos(5x/8)+5tg(7x/11-?/4)-sin(6x-3);
3) f(x)=2sin(5?x)+(1/3){2x}-ctg(13?x/7).
