Упражнение 23.16 ГДЗ Мерзляк 10 класс Углубленный уровень (Алгебра)
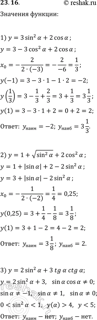
23.16. Найдите наибольшее и наименьшее значения выражения: 1) 3sin^2(?)+2cos(?); 3) 2sin^2(?)+3tg(?)ctg(?). 2) 1+vsin^2(?)+2cos^2(?); *Цитирирование задания со ссылкой на учебник производится исключительно в учебных целях для лучшего понимания разбора решения задания.

Ниже вариант решения задания из учебника Мерзляк, Номировский, Поляков 10 класс, Просвещение:
23.16. Найдите наибольшее и наименьшее значения выражения:
1) 3sin^2(?)+2cos(?); 3) 2sin^2(?)+3tg(?)ctg(?).
2) 1+vsin^2(?)+2cos^2(?);
