Упражнение 24.23 ГДЗ Мерзляк 10 класс Углубленный уровень (Алгебра)
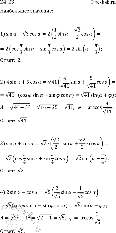
24.23. Найдите наибольшее значение выражения: 1) sin(?)-v3cos(?); 3) sin(?)+cos(?); 2) 4sin(?)+5cos(?); 4) 2sin(?)-cos(?). *Цитирирование задания со ссылкой на учебник производится исключительно в учебных целях для лучшего понимания разбора решения задания.

Ниже вариант решения задания из учебника Мерзляк, Номировский, Поляков 10 класс, Просвещение:
24.23. Найдите наибольшее значение выражения:
1) sin(?)-v3cos(?); 3) sin(?)+cos(?);
2) 4sin(?)+5cos(?); 4) 2sin(?)-cos(?).
