Упражнение 24.27 ГДЗ Мерзляк 10 класс Углубленный уровень (Алгебра)
24.27. Дано: cos(5°+?)=0,6, 0° *Цитирирование задания со ссылкой на учебник производится исключительно в учебных целях для лучшего понимания разбора решения задания.

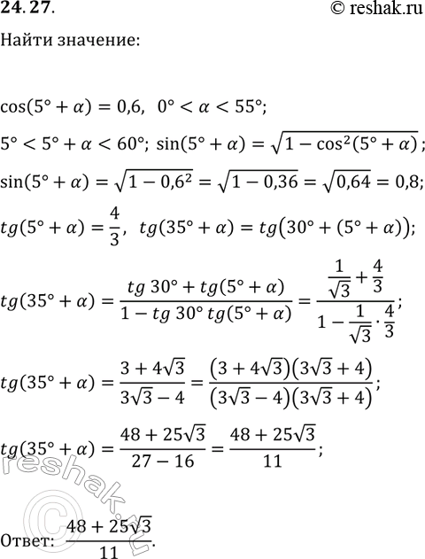
Ниже вариант решения задания из учебника Мерзляк, Номировский, Поляков 10 класс, Просвещение:
24.27. Дано: cos(5°+?)=0,6, 0°
