Упражнение 24.24 ГДЗ Мерзляк 10 класс Углубленный уровень (Алгебра)
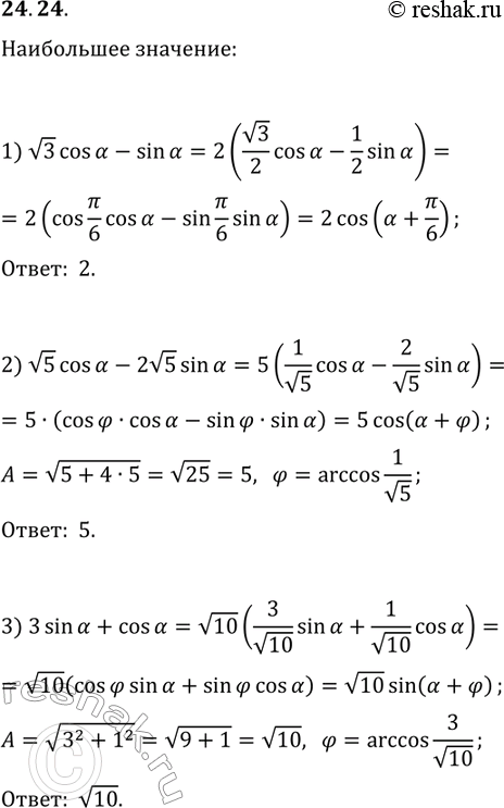
24.24. Найдите наибольшее значение выражения: 1) v3cos(?)-sin(?); 3) 3sin(?)+cos(?). 2) v5cos(?)-2v5sin(?); *Цитирирование задания со ссылкой на учебник производится исключительно в учебных целях для лучшего понимания разбора решения задания.

Ниже вариант решения задания из учебника Мерзляк, Номировский, Поляков 10 класс, Просвещение:
24.24. Найдите наибольшее значение выражения:
1) v3cos(?)-sin(?); 3) 3sin(?)+cos(?).
2) v5cos(?)-2v5sin(?);
