Упражнение 25.3 ГДЗ Мерзляк 10 класс Углубленный уровень (Алгебра)
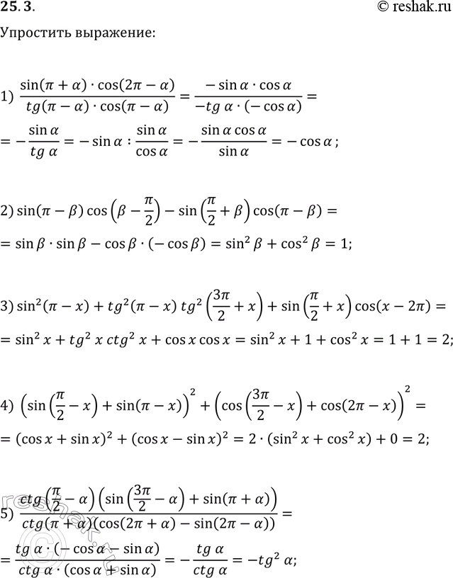
25.3. Упростите выражение: 1) sin(?+?)cos(2?-?)/(tg(?-?)cos(?-?)); 2) sin(?-?)cos(?-?/2)-sin(?/2+?)cos(?-?); 3) sin^2(?-x)+tg^2(?-x)tg^2(3?/2+x)+sin(?/2+x)cos(x-2?); 4) (sin(?/2-x)+sin(?-x))^2+(cos(3?/2-x)+cos(2?-x))^2; 5) ctg(?/2-?)(sin(3?/2-?)+sin(?+?))/(ctg(?+?)(cos(2?+?)-sin(2?-?))). *Цитирирование задания со ссылкой на учебник производится исключительно в учебных целях для лучшего понимания разбора решения задания.

Ниже вариант решения задания из учебника Мерзляк, Номировский, Поляков 10 класс, Просвещение:
25.3. Упростите выражение:
1) sin(?+?)cos(2?-?)/(tg(?-?)cos(?-?));
2) sin(?-?)cos(?-?/2)-sin(?/2+?)cos(?-?);
3) sin^2(?-x)+tg^2(?-x)tg^2(3?/2+x)+sin(?/2+x)cos(x-2?);
4) (sin(?/2-x)+sin(?-x))^2+(cos(3?/2-x)+cos(2?-x))^2;
5) ctg(?/2-?)(sin(3?/2-?)+sin(?+?))/(ctg(?+?)(cos(2?+?)-sin(2?-?))).
