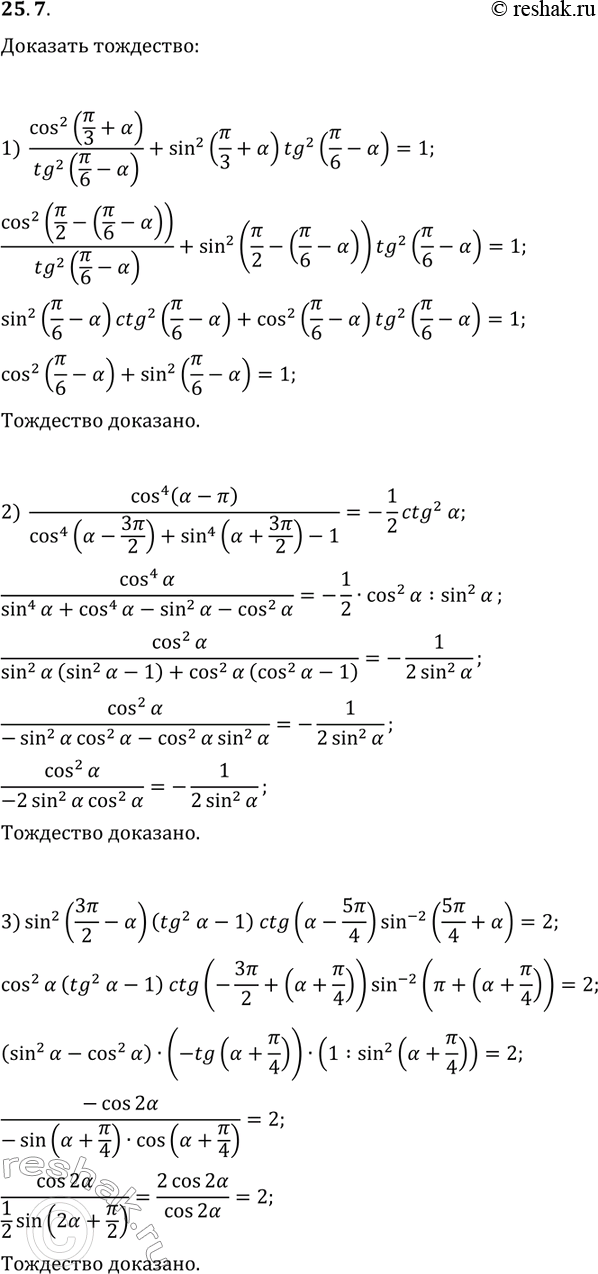
Упражнение 25.7 ГДЗ Мерзляк 10 класс Углубленный уровень (Алгебра)
25.7. Докажите тождество: 1) cos^2(?/3+?)/tg^2(?/6-?)+sin^2(?/3+?)tg^2(?/6-?)=1; 2) cos^4(?-?)/(cos^4(?-3?/2)+sin^4(?+3?/2)-1)=-1/2ctg^2(?); 3) sin^2(3?/2-?)(tg^2(?)-1)ctg(?-5?/4)sin^(-2)(5?/4+?)=2. *Цитирирование задания со ссылкой на учебник производится исключительно в учебных целях для лучшего понимания разбора решения задания.

Ниже вариант решения задания из учебника Мерзляк, Номировский, Поляков 10 класс, Просвещение:
25.7. Докажите тождество:
1) cos^2(?/3+?)/tg^2(?/6-?)+sin^2(?/3+?)tg^2(?/6-?)=1;
2) cos^4(?-?)/(cos^4(?-3?/2)+sin^4(?+3?/2)-1)=-1/2ctg^2(?);
3) sin^2(3?/2-?)(tg^2(?)-1)ctg(?-5?/4)sin^(-2)(5?/4+?)=2.
