Упражнение 25.9 ГДЗ Мерзляк 10 класс Углубленный уровень (Алгебра)
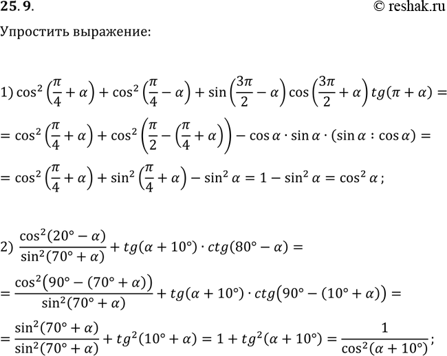
25.9. Упростите выражение: 1) cos^2(?/4+?)+cos^2(?/4-?)+sin(3?/2-?)cos(3?/2+?)tg(?+?); 2) cos^2(20°-?)/sin^2(70°+?)+tg(?+10°)ctg(80°-?). *Цитирирование задания со ссылкой на учебник производится исключительно в учебных целях для лучшего понимания разбора решения задания.

Ниже вариант решения задания из учебника Мерзляк, Номировский, Поляков 10 класс, Просвещение:
25.9. Упростите выражение:
1) cos^2(?/4+?)+cos^2(?/4-?)+sin(3?/2-?)cos(3?/2+?)tg(?+?);
2) cos^2(20°-?)/sin^2(70°+?)+tg(?+10°)ctg(80°-?).
