Упражнение 26.8 ГДЗ Мерзляк 10 класс Углубленный уровень (Алгебра)
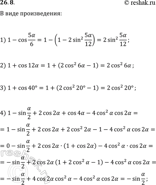
26.8. Представьте в виде произведения выражение: 1) 1-cos(5?/6); 2) 1+cos(12?); 3) 1+cos(40°); 4) 1-sin(?/2)+2cos(2?)+cos(4?)=4cos^2(?)cos(2?). *Цитирирование задания со ссылкой на учебник производится исключительно в учебных целях для лучшего понимания разбора решения задания.

Ниже вариант решения задания из учебника Мерзляк, Номировский, Поляков 10 класс, Просвещение:
26.8. Представьте в виде произведения выражение:
1) 1-cos(5?/6); 2) 1+cos(12?); 3) 1+cos(40°);
4) 1-sin(?/2)+2cos(2?)+cos(4?)=4cos^2(?)cos(2?).
