Упражнение 26.6 ГДЗ Мерзляк 10 класс Углубленный уровень (Алгебра)
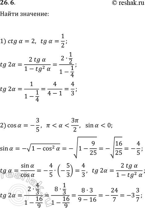
26.6. Найдите tg(2?), если: 1) ctg(?)=2; 2) cos(?)=-3/5 и ? *Цитирирование задания со ссылкой на учебник производится исключительно в учебных целях для лучшего понимания разбора решения задания.

Ниже вариант решения задания из учебника Мерзляк, Номировский, Поляков 10 класс, Просвещение:
26.6. Найдите tg(2?), если:
1) ctg(?)=2; 2) cos(?)=-3/5 и ?
