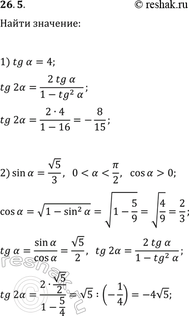
Упражнение 26.5 ГДЗ Мерзляк 10 класс Углубленный уровень (Алгебра)
26.5. Найдите tg(2?), если: 1) tg(?)=4; 2) sin(?)=v5/3 и 0 *Цитирирование задания со ссылкой на учебник производится исключительно в учебных целях для лучшего понимания разбора решения задания.

Ниже вариант решения задания из учебника Мерзляк, Номировский, Поляков 10 класс, Просвещение:
26.5. Найдите tg(2?), если:
1) tg(?)=4; 2) sin(?)=v5/3 и 0
