Упражнение 28.18 ГДЗ Мерзляк 10 класс Углубленный уровень (Алгебра)
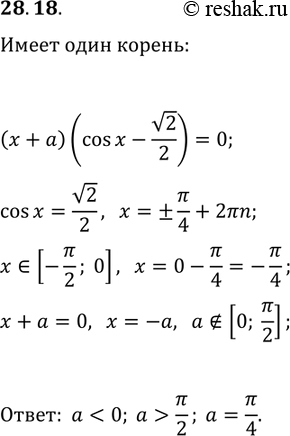
28.18. При каких значениях параметра a уравнение (x+a)(cos(x)-v2/2)=0 имеет единственный корень на промежутке [-?/2; 0]? *Цитирирование задания со ссылкой на учебник производится исключительно в учебных целях для лучшего понимания разбора решения задания.
![Решение задачи: 28.18. При каких значениях параметра a уравнение (x+a)(cos(x)-v2/2)=0 имеет единственный корень на промежутке [-?/2; 0]? *Цитирирование задания со ссылкой на учебник производится исключительно в учебных целях для лучшего понимания разбора решения задания.](solutions/algebra/10/635/1-28-18.png)
Ниже вариант решения задания из учебника Мерзляк, Номировский, Поляков 10 класс, Просвещение:
28.18. При каких значениях параметра a уравнение (x+a)(cos(x)-v2/2)=0 имеет единственный корень на промежутке [-?/2; 0]?
