Упражнение 29.3 ГДЗ Мерзляк 10 класс Углубленный уровень (Алгебра)
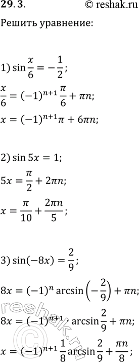
29.3. Решите уравнение: 1) sin(x/6)=-1/2; 2) sin(5x)=1; 3) sin(-8x)=2/9. *Цитирирование задания со ссылкой на учебник производится исключительно в учебных целях для лучшего понимания разбора решения задания.

Ниже вариант решения задания из учебника Мерзляк, Номировский, Поляков 10 класс, Просвещение:
29.3. Решите уравнение:
1) sin(x/6)=-1/2; 2) sin(5x)=1; 3) sin(-8x)=2/9.
