Упражнение 29.5 ГДЗ Мерзляк 10 класс Углубленный уровень (Алгебра)
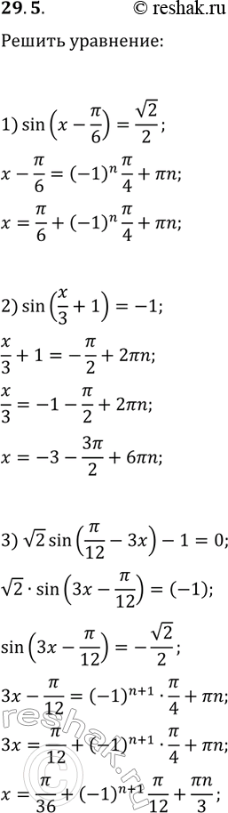
29.5. Решите уравнение: 1) sin(x-?/6)=v2/2; 2) sin(x/3+1)=-1; 3) v2sin(?/12-3x)-1=0. *Цитирирование задания со ссылкой на учебник производится исключительно в учебных целях для лучшего понимания разбора решения задания.

Ниже вариант решения задания из учебника Мерзляк, Номировский, Поляков 10 класс, Просвещение:
29.5. Решите уравнение:
1) sin(x-?/6)=v2/2;
2) sin(x/3+1)=-1;
3) v2sin(?/12-3x)-1=0.
