Упражнение 29.4 ГДЗ Мерзляк 10 класс Углубленный уровень (Алгебра)
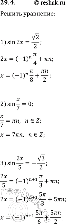
29.4. Решите уравнение: 1) sin(2x)=v2/2; 2) sin(x/7)=0; 3) sin(2x/5)=-v3/2. *Цитирирование задания со ссылкой на учебник производится исключительно в учебных целях для лучшего понимания разбора решения задания.

Ниже вариант решения задания из учебника Мерзляк, Номировский, Поляков 10 класс, Просвещение:
29.4. Решите уравнение:
1) sin(2x)=v2/2; 2) sin(x/7)=0; 3) sin(2x/5)=-v3/2.
