Упражнение 29.12 ГДЗ Мерзляк 10 класс Углубленный уровень (Алгебра)
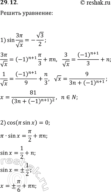
29.12. Решите уравнение: 1) sin(3?/vx)=-v3/2; 2) cos(? sin(x))=0. *Цитирирование задания со ссылкой на учебник производится исключительно в учебных целях для лучшего понимания разбора решения задания.

Ниже вариант решения задания из учебника Мерзляк, Номировский, Поляков 10 класс, Просвещение:
29.12. Решите уравнение:
1) sin(3?/vx)=-v3/2; 2) cos(? sin(x))=0.
