Упражнение 29.10 ГДЗ Мерзляк 10 класс Углубленный уровень (Алгебра)
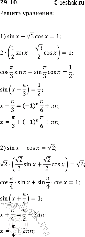
29.10. Решите уравнение: 1) sin(x)-v3cos(x)=1; 2) sin(x)+cos(x)=v2. *Цитирирование задания со ссылкой на учебник производится исключительно в учебных целях для лучшего понимания разбора решения задания.

Ниже вариант решения задания из учебника Мерзляк, Номировский, Поляков 10 класс, Просвещение:
29.10. Решите уравнение:
1) sin(x)-v3cos(x)=1;
2) sin(x)+cos(x)=v2.
