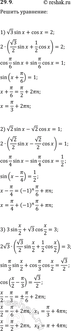
Упражнение 29.9 ГДЗ Мерзляк 10 класс Углубленный уровень (Алгебра)
29.9. Решите уравнение: 1) v2sin(x)+cos(x)=2; 2) v2sin(x)-v2cos(x)=1; 3) 3sin(x/2)+v3cos(x/2)=3. *Цитирирование задания со ссылкой на учебник производится исключительно в учебных целях для лучшего понимания разбора решения задания.

Ниже вариант решения задания из учебника Мерзляк, Номировский, Поляков 10 класс, Просвещение:
29.9. Решите уравнение:
1) v2sin(x)+cos(x)=2;
2) v2sin(x)-v2cos(x)=1;
3) 3sin(x/2)+v3cos(x/2)=3.
