Упражнение 29.11 ГДЗ Мерзляк 10 класс Углубленный уровень (Алгебра)
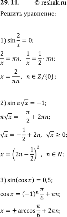
29.11. Решите уравнение: 1) sin(2/x)=0; 2) sin(?vx)=-1; 3) sin(cos(x))=0,5. *Цитирирование задания со ссылкой на учебник производится исключительно в учебных целях для лучшего понимания разбора решения задания.

Ниже вариант решения задания из учебника Мерзляк, Номировский, Поляков 10 класс, Просвещение:
29.11. Решите уравнение:
1) sin(2/x)=0; 2) sin(?vx)=-1; 3) sin(cos(x))=0,5.
