Упражнение 31.25 ГДЗ Мерзляк 10 класс Углубленный уровень (Алгебра)
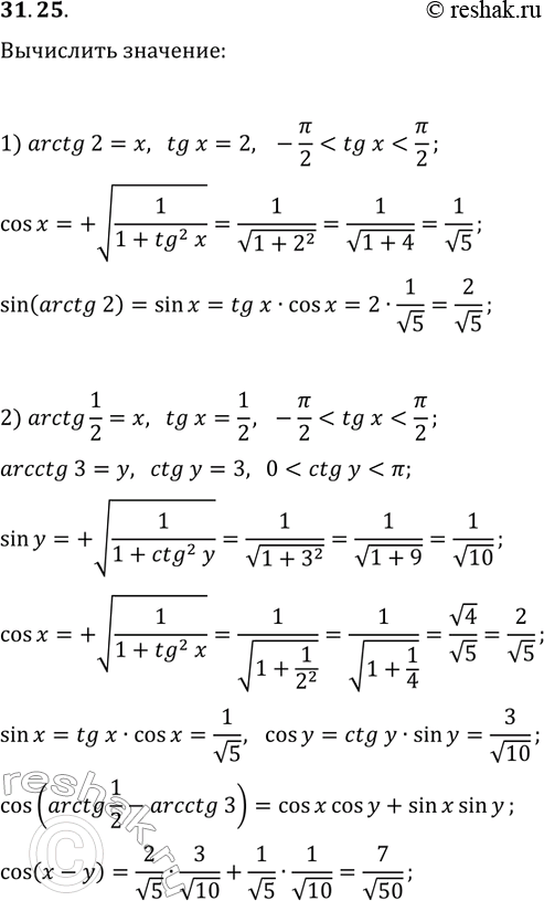
31.25. Вычислите: 1) sin(arctg(2)); 2) cos(arctg(1/2)-arcctg(3)). *Цитирирование задания со ссылкой на учебник производится исключительно в учебных целях для лучшего понимания разбора решения задания.

Ниже вариант решения задания из учебника Мерзляк, Номировский, Поляков 10 класс, Просвещение:
31.25. Вычислите:
1) sin(arctg(2)); 2) cos(arctg(1/2)-arcctg(3)).
