Упражнение 31.30 ГДЗ Мерзляк 10 класс Углубленный уровень (Алгебра)
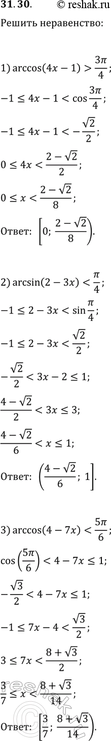
31.30. Решите неравенство: 1) arccos(4x-1) > 3?/4; 2) arcsin(2-3x) 3) arccos(4-7x) *Цитирирование задания со ссылкой на учебник производится исключительно в учебных целях для лучшего понимания разбора решения задания.
Ниже вариант решения задания из учебника Мерзляк, Номировский, Поляков 10 класс, Просвещение:
31.30. Решите неравенство:
1) arccos(4x-1) > 3?/4;
2) arcsin(2-3x)
3) arccos(4-7x)

