Упражнение 31.29 ГДЗ Мерзляк 10 класс Углубленный уровень (Алгебра)
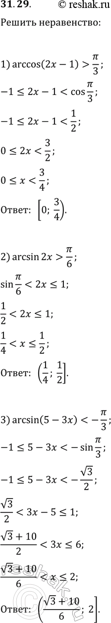
31.29. Решите неравенство: 1) arccos(2x-1) > ?/3; 2) arcsin(2x) > ?/6; 3) arcsin(5-3x) *Цитирирование задания со ссылкой на учебник производится исключительно в учебных целях для лучшего понимания разбора решения задания.

Ниже вариант решения задания из учебника Мерзляк, Номировский, Поляков 10 класс, Просвещение:
31.29. Решите неравенство:
1) arccos(2x-1) > ?/3;
2) arcsin(2x) > ?/6;
3) arcsin(5-3x)
