Упражнение 31.26 ГДЗ Мерзляк 10 класс Углубленный уровень (Алгебра)
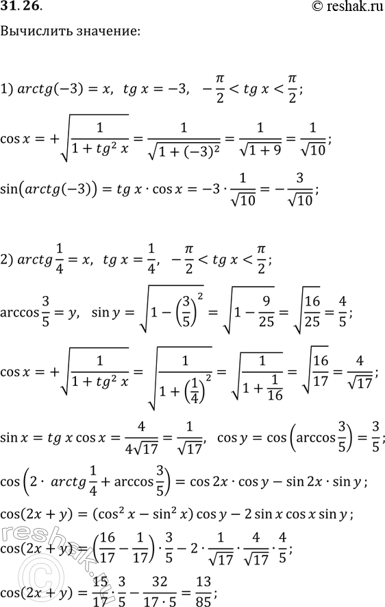
31.26. Вычислите: 1) sin(arctg(-3)); 2) cos(2arctg(1/4)+arccos(3/5)). *Цитирирование задания со ссылкой на учебник производится исключительно в учебных целях для лучшего понимания разбора решения задания.

Ниже вариант решения задания из учебника Мерзляк, Номировский, Поляков 10 класс, Просвещение:
31.26. Вычислите:
1) sin(arctg(-3)); 2) cos(2arctg(1/4)+arccos(3/5)).
