Упражнение 31.32 ГДЗ Мерзляк 10 класс Углубленный уровень (Алгебра)
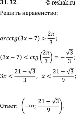
31.32. Решите неравенство arcctg(3x-7) > 2?/3. *Цитирирование задания со ссылкой на учебник производится исключительно в учебных целях для лучшего понимания разбора решения задания.

Ниже вариант решения задания из учебника Мерзляк, Номировский, Поляков 10 класс, Просвещение:
31.32. Решите неравенство arcctg(3x-7) > 2?/3.
