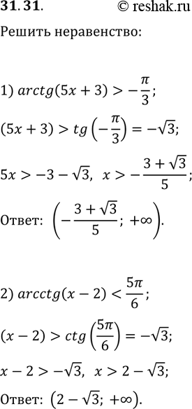
Упражнение 31.31 ГДЗ Мерзляк 10 класс Углубленный уровень (Алгебра)
31.31. Решите неравенство: 1) arctg(5x+3) > -?/3; 2) arcctg(x-2) *Цитирирование задания со ссылкой на учебник производится исключительно в учебных целях для лучшего понимания разбора решения задания.

Ниже вариант решения задания из учебника Мерзляк, Номировский, Поляков 10 класс, Просвещение:
31.31. Решите неравенство:
1) arctg(5x+3) > -?/3;
2) arcctg(x-2)
