Упражнение 31.2 ГДЗ Мерзляк 10 класс Углубленный уровень (Алгебра)
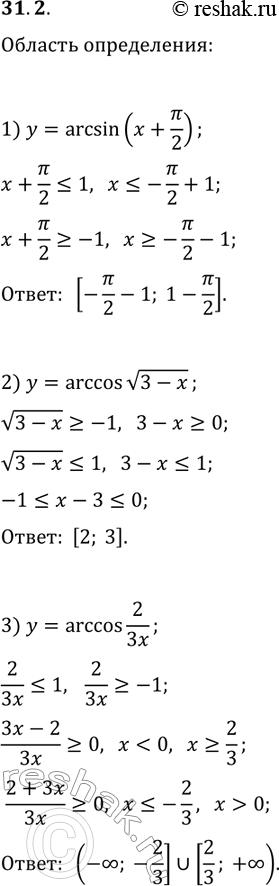
31.2. Найдите область определения функции: 1) y=arcsin(x+?/2); 2) y=arccos(v(3-x)); 3) y=arccos(2/(3x)). *Цитирирование задания со ссылкой на учебник производится исключительно в учебных целях для лучшего понимания разбора решения задания.

Ниже вариант решения задания из учебника Мерзляк, Номировский, Поляков 10 класс, Просвещение:
31.2. Найдите область определения функции:
1) y=arcsin(x+?/2); 2) y=arccos(v(3-x)); 3) y=arccos(2/(3x)).
