Упражнение 38.2 ГДЗ Мерзляк 10 класс Углубленный уровень (Алгебра)
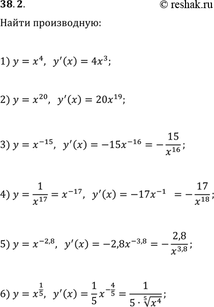
38.2. Найдите производную функции: 1) y=x^4; 3) y=x^(-15); 5) y=x^(-2,8); 2) y=x^20; 4) y=1/x^17; 6) y=x^(1/5). *Цитирирование задания со ссылкой на учебник производится исключительно в учебных целях для лучшего понимания разбора решения задания.

Ниже вариант решения задания из учебника Мерзляк, Номировский, Поляков 10 класс, Просвещение:
38.2. Найдите производную функции:
1) y=x^4; 3) y=x^(-15); 5) y=x^(-2,8);
2) y=x^20; 4) y=1/x^17; 6) y=x^(1/5).
