Упражнение 38.7 ГДЗ Мерзляк 10 класс Углубленный уровень (Алгебра)
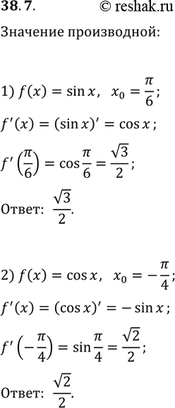
38.7. Вычислите значение производной функции f в точке: 1) f(x)=sin(x), x_0=?/6; 2) f(x)=cos(x), x_0=-?/4. *Цитирирование задания со ссылкой на учебник производится исключительно в учебных целях для лучшего понимания разбора решения задания.

Ниже вариант решения задания из учебника Мерзляк, Номировский, Поляков 10 класс, Просвещение:
38.7. Вычислите значение производной функции f в точке:
1) f(x)=sin(x), x_0=?/6; 2) f(x)=cos(x), x_0=-?/4.
