Упражнение 38.6 ГДЗ Мерзляк 10 класс Углубленный уровень (Алгебра)
38.6. Вычислите значение производной функции f в точке x_0: 1) f(x)=sin(x), x_0=?/4; 2) f(x)=cos(x), x_0=-?/6. *Цитирирование задания со ссылкой на учебник производится исключительно в учебных целях для лучшего понимания разбора решения задания.

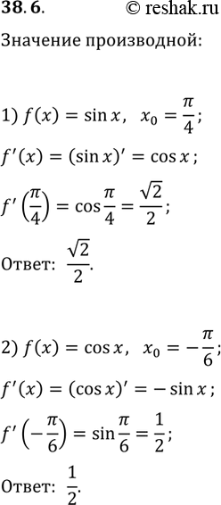
Ниже вариант решения задания из учебника Мерзляк, Номировский, Поляков 10 класс, Просвещение:
38.6. Вычислите значение производной функции f в точке x_0:
1) f(x)=sin(x), x_0=?/4; 2) f(x)=cos(x), x_0=-?/6.
